MWO Dubai has announced that the application form to register for one-time cash assistance for OFWs is available.. If you have faced sudden job loss or a cut in your salary, you can claim a DMW ayuda grant worth $200 (approximately AED 730) via online procedure only.
The Migrant Workers Office in Dubai (MWO-Dubai) is managing the distribution for Filipinos in Dubai and the Northern Emirates. You must complete the entire application process online, as the office will not entertain walk-in requests.

Registration Link to Apply for Cash Assistance by MWO Dubai
MWO-Dubai strictly prohibits walk-in applicants for this program. You must submit your request through their designated digital portal. The office releases specific application links on their official website and Facebook page.
The next schedule when the link will be open is on May 1, 2026. You may access the application form here – http://bit.ly/Form2-FA
The online portal follows a strict twice-a-week schedule. Links will go live every Tuesday and Friday at exactly 8:00 AM/
Each form only accepts about 820 applications per session. The system will automatically close at 11:59 PM on the same day, or the exact moment it reaches the 820-applicant limit. Because of the high demand, the form often closes within minutes of opening.
Qualifications
The government designed this fund specifically for land-based workers directly impacted by the current economic and regional disruptions. The broader program covers ten Middle Eastern countries, including the United Arab Emirates.
You are eligible to apply if you experienced any of the following employment changes:
- Permanent or temporary job termination
- A noticeable reduction in your regular salary
- A reduction in your working hours
- Other unexpected work disruptions caused by the crisis
Required Documents
To ensure a smooth approval process, gather your files before the application link goes live. You will need to upload clear, scanned copies of your paperwork. Preparing these documents in advance gives you a major advantage, as application slots fill up rapidly.
Basic Identification
- A completed Request for Assistance (RFA) form – download here
- A clear copy of your passport bio page
- Valid proof of overseas employment, such as your Emirates ID, visa, labor card, or employment contract
Proof of Employment Impact
You must also prove how the crisis affected your income. Submit one of the following documents:
- A formal termination notice from your employer
- Recent pay slips indicating a salary deduction
- An employer certification showing reduced working hours
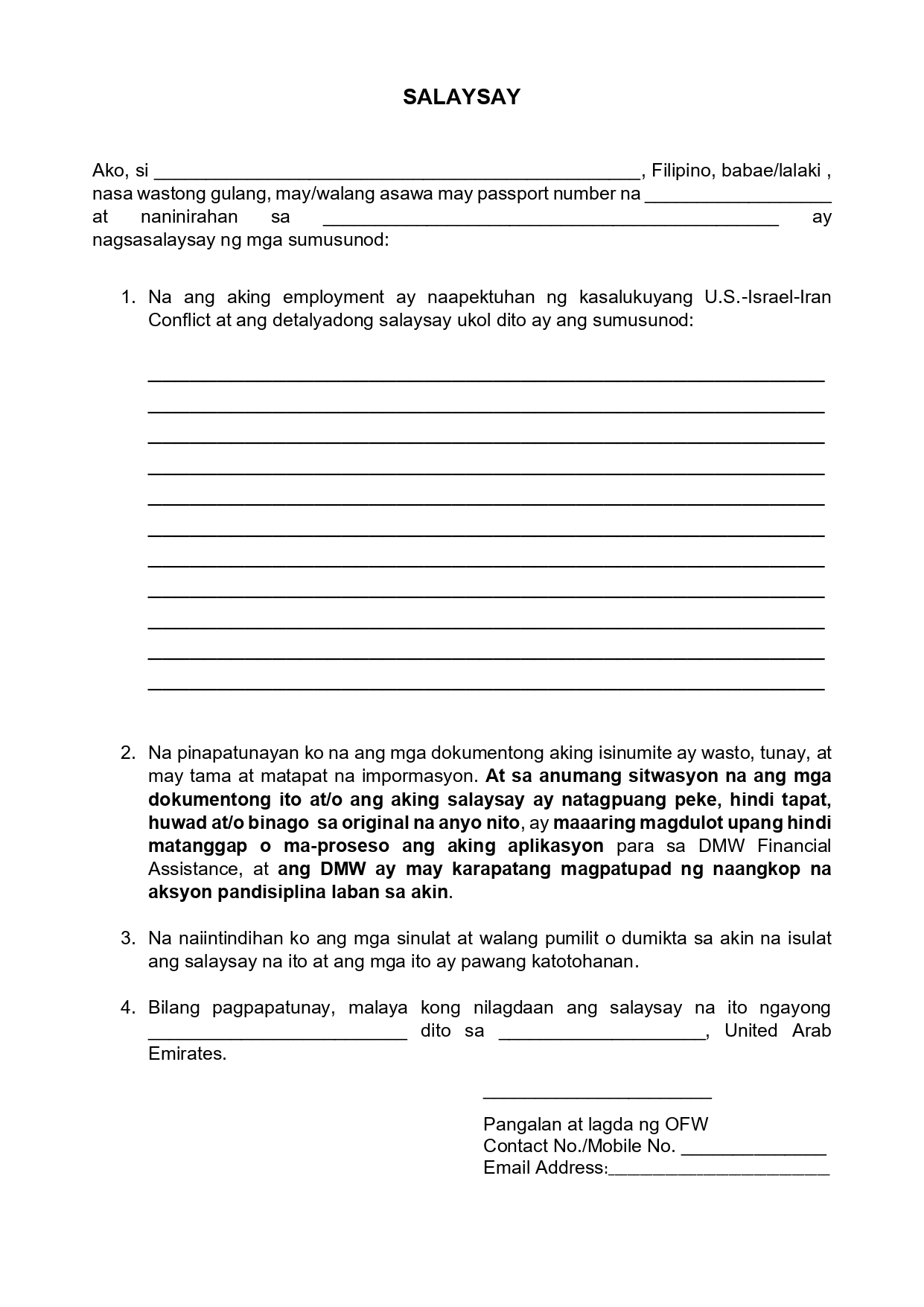
- A notarized affidavit or Self-Declaration letter (Sariling Salaysay) – Download Here

Important Reminders for Applicants
As you prepare your application, keep these essential details in mind to guarantee a successful submission:
- Limited funding: The DMW provided initial funding to cover exactly 3,271 OFWs in Dubai and the Northern Emirates.
- First-come, first-served: Submit your request the moment the portal opens. The system processes applications in the exact order they arrive.
- Quick processing: You will receive an update regarding your application status within three days of submission.
- Easy claiming: Once approved, you can claim your cash aid at any Al Ansari Exchange branch across the UAE. You only need to present your physical passport or Emirates ID to the teller.
Take action now by downloading the required RFA and Self-Declaration templates from the official MWO-Dubai website. Keep your scanned documents easily accessible on your phone or computer. When the next application window opens, you will be ready to secure your financial assistance quickly and efficiently.
Template for Request for Assistance Form (RFA Form)
Here’s the RFA form for your reference as shared by MWO Dubai:


Template for Sariling Salaysay (Self Declaration)
Here’s the template for the Sariling Salaysay form or the Self-Declaration form:
